
편미분에서는 다변수함수를 하나의 변수에 대해 미분합니다. 인공지능에서 파라미터 하나의 변화가 전체에 미치는 영향을 구하는데 사용합니다.
- 편미분
여러 개의 변수를 가진 함수에 대해 하나의 변수만으로 인한 미분을편 미분이라고 합니다. 편미분의 경우 다른 변수는 상수로 취급합니다.
예를 들어, 2변수로 이루어진 함수 f(x,y)의 편미분은 다음과 같이 (델, 디, 파셜 등으로 읽는다)의 기호를 사용해 나타낼 수 있습니다.

x만 미소(微小)한 양 Δx만큼 변화시키고, Δx를 한없이 0에 가깝게 합니다. y 는 미소 변화하지 않으므로 편미분일 때는 상수처럼 취급할 수 있습니다. 아래 그래프처럼 나타냅니다.

위 그래프에서는 x¡이외의 변수를 고정하고, x¡에 대한 f(x₁, x₂, …, x¡, …)변화의 비율을 구합니다.
이처럼 편미분에서는 어떤 변수 x¡이외의 변수를 고정해서 x¡의 변화에 대한 f(x₁, x₂, …, x¡, …)의 변화 비율, 즉 기울기를 구합니다.
- 편미분의 예
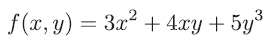
예로서 다음과 같은 변수 x, y를 가진 함수 f(x, y)를 생각해 봅시다.

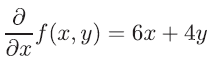
이 함수를 편미분합니다. 편미분일 때는 y를 상수로서 취급, 미분의 공식을 이용해서 x로 미분합니다. 이로써 다음의 식을 얻을 수 있습니다. 편미분에서는 d가 아닌 ∂기호를 사용합니다.

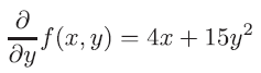
이러한 편미분에 의해 구한 함수를 편도함수라고 합니다. 이 경우, 편도함수는 y의 값을 고정했을 때의 x의 변화에 대한 f(x, y)의 변화의 비율이 됩니다. f(x, y)의 y에 의한 편미분은 다음과 같습니다. 이 경우 x는 상수로서 취급합니다.

이것은 x의 값을 고정했을 때의 y의 변화에 대한 f(x, y)의 변화의 비율이 됩니다. 편미분을 이용함으로써 특정 파라미터의 매우 작은 변화가 결과에 미치는 영향을 예측할 수 있습니다.
전미분에서는 다변수함수의 미소변화를 전체 변수의 미소변화를 사용해서 구합니다.
- 전미분
2변수함수 z=f(x, y)의 전미분은 다음의 식으로 표현됩니다.

x에 의한 편미분에 x의 미소변화 dx를 곱한 것과 y 에 의한 편미분에 y 의 미소변화 dy를 곱한 것을 더하여, z 의 미소변화 dz 를 구합니다.
변수가 2개보다 많은 함수도 있을 수 있으므로 더욱 범용적인 형태로 적어봅시다. 다음은 n개의 변수를 가진 함수 z 의 전미분입니다. x¡가 각 변수를 나타냅니다.

전미분을 이용함으로써 다변수 함수의 미소한 변화량을 각 변수에 의한 편미분과 각 변수의 미소한 변화에 의해 구할 수 있습니다.
인공지능에서는 많은 파라미터를 가진 다변수 함수를 취급하므로 결과의 미소한 변화량을 구할 때 전미분이 도움이 됩니다.
- 전미분 식의 도출
(식1)을 도출합니다.
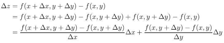
함수 z=f(x, y)를 생각합시다. x의 미소한 변화를 Δx, y의 미소한 변화를 Δy로 하면 z의 미소한 변화 Δz는 다음과 같습니다.

이 식에서 Δx와 Δy를 다음과 같이 0에 한없이 가깝게 합니다.

이 식에서 Δy가 충분히 작으면 우변 제1항의 Δy는 무시할 수 있습니다. 이 때, 우변의 제1항, 제2항 모두 편미분 정의의 식을 포함하게 됩니다. 또한 좌변을 dz, 미소량 Δx와 Δy를 dx, dy로 해두면 다음 식이 도출됩니다.


《처음 만나는 AI 수학 with Python》
'IT 정보' 카테고리의 다른 글
| 2D 게임 만들 때 유용한 유니티 스크립트 47가지 (0) | 2021.02.22 |
|---|---|
| 인공지능 수학 공부, 꼭 알아야 할 극한과 미분편! (0) | 2021.02.01 |
| DevOps를 도입하는 조직 체제의 Best Practice는 있는가? (0) | 2021.01.21 |